Julian's Science Experiments
  • Famous Experiments and Inventions
  • The Scientific Method
  • Home Aviation Experiments Aviation Science Fair Projects Famous Aviators Warning!
       

    Trajectory & Range of a Projectile
    K-12 Experiments and Background Information







    Projectile Experiments

    Projectile Background Information

    Definitions

    The ballistic trajectory of a projectile is the path that a thrown object will take under the action of gravity, neglecting all other forces, such as friction from air resistance, or propulsion.

    In physics, a projectile launched with specific initial conditions in a uniform gravity field will have a predictable range.

    Topics of Interest

    This article provides a list of methods for calculating the trajectory and range of a projectile under the influence of Earth's gravity.

    In the equations on this page, the following variables will be used:

    • g: the gravitational acceleration—usually taken to be 9.81 m/s2 near the Earth's surface
    • θ: the angle at which the projectile is launched
    • v: the velocity at which the projectile is launched
    • y0: the initial height of the projectile
    • d: the total horizontal distance traveled by the projectile

    Conditions at the final position of the projectile

    Distance traveled

    The total horizontal distance (d) traveled.

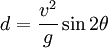
    When the surface the object is launched from and is flying over is flat, the distance traveled is:

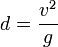
    As a special case, the distance is given by

    when the angle (θ) is 45° and the initial height (y0) is 0.

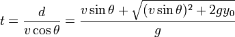
    Time of flight

    The time of flight (t) is the time it takes for the projectile to finish its trajectory.

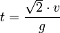
    As above, this expression can be reduced to

    if θ is 45° and y0 is 0.

    Angle of reach

    The "angle of reach" (not quite a scientific term) is the angle (θ) at which a projectile must be launched in order to go a distance d, given the initial velocity v.



    Range of a Projectile

    In physics, a projectile launched with specific initial conditions in a uniform gravity field will have a predictable range. As in Trajectory of a projectile, we will use:

    • g: the gravitational acceleration—usually taken to be 9.81 m/s2 near the Earth's surface
    • θ: the angle at which the projectile is launched
    • v: the velocity at which the projectile is launched
    • y0: the initial height of the projectile
    • d: the total horizontal distance travelled by the projectile

    When neglecting air resistance, the range of a projectile will be

    If (y0) is taken to be zero, meaning the object is being launched on flat ground, the range of the projectile will then simplify to



    For more calculations:
    https://en.wikipedia.org/wiki/Range_of_a_projectile
    https://en.wikipedia.org/wiki/Trajectory

    Source: Wikipedia (All text is available under the terms of the GNU Free Documentation License and Creative Commons Attribution-ShareAlike License.)

    Useful Links
    Science Fair Projects Resources
    Engineering Science Fair Books

                  





    My Dog Kelly

    Follow Us On:
         

    Privacy Policy - Site Map - About Us - Letters to the Editor

    Comments and inquiries could be addressed to:
    webmaster@julianTrubin.com


    Last updated: June 2013
    Copyright © 2003-2013 Julian Rubin