Julian's Science Experiments
  • Famous Experiments and Inventions
  • The Scientific Method
  • Home Electronics Experiments Electronics Science Fair Projects Electronic Circuits Warning!
       

    Build Your Own Dimmer
    Circuits, Projects, Experiments & Background Information
    For Hobbby, Science Labs & Science Fair Projects
    For High School Students and Teachers







    Dimmer Experiments

    Dimmer Background Information

    Definition

    Dimmers are devices used to vary the brightness of a light. By decreasing or increasing the RMS voltage and hence the mean power to the lamp it is possible to vary the intensity of the light output.

    Basics

    Although variable-voltage devices are used for various purposes, the term dimmer is generally reserved for those intended to control lighting.

    Dimmers range in size from small units the size of a normal lightswitch used for domestic lighting to high power units used in large theatre or architectural lighting installations. Small domestic dimmers are generally directly controlled, although remote control systems (such as X10) are available. Modern professional dimmers are generally controlled by a digital control system like DMX.

    In the professional lighting industry changes in intensity are called “fades” and can be “fades up” or “fades down”. Dimmers with direct manual control had a limit on the speed they could be varied at but this issue is pretty much gone with modern digital units (although very fast changes in brightness may still be avoided for other reasons like lamp life).

    They are used instead of variable resistors because they have higher efficiency. A variable resistor would dissipate power by heat (efficiency as low as 0.5). By switching on and off, theoretically a dimmer does not heat up (efficiency close to 1.0).

    History

    One of the earliest recorded dimmers is Granville Woods's "Safety Dimmer", published in 1890; dimmers before that were liable to cause fires.

    Early dimmers were directly controlled through the manual manipulation of large dimmer panels, but this meant that all power had to come through the lighting control location, which could be inconvenient and potentially dangerous, especially with systems that had a large number of channels, high power lights or both (such as a stage disco or other similar venues).

    When thyristor dimmers came into use, analog remote control systems (often 0-10V lighting control systems) became feasible. The wire for the control systems was much smaller (with low current and lower danger) than the heavy power cables of previous lighting systems. Each dimmer had its own control wires which meant a huge number of wires leaving the lighting control location and running to each individual dimmer. Modern systems use a digital control protocol such as DMX to control a large number of dimmers (and other stage equipment) through a single cable.

    In 1961 Joel Spira, founder of Lutron Electronics, invented the first solid state dimmer, which switches the current on and off 120 times per second, saving energy and allowing the dimmer to be installed in a standard electrical wallbox.

    Types of dimmer

    Early examples of a dimmer include a salt water dimmer. In a salt water dimmer, there were two metal contacts in a glass beaker. One contact was on the bottom, while the other was able to move up and down. The closer the contacts to each other, the higher the level of the light. Using salt water dimmers was a tedious and precarious task that included filling the beakers with water, checking the concentration of the salt, and raising or lowering the top contact. Salt water dimmers were not efficient due to the evaporation of water and the corrosion of the many metal pieces. These dimmers were colloquially known as "pis pots", for obvious reasons. Many old theatre electricians still recount stories of how they were initiated into the art by being requested to "top up a pot" and receiving a shock, as unbeknownst to them the pot was live...

    Dimmers were also often based on rheostats. These were inefficient; when set to the middle brightness levels, they could dissipate as heat a significant portion of the power rating of the load (up to 25% for resistive loads, more for temperature dependent loads like lamps) so they were physically large and required plenty of cooling air. Also, because their dimming effect depended a great deal on the total load applied to each rheostat, the load needed to be matched fairly carefully to the power rating of the rheostat. Finally, as they relied on mechanical control they were slow and it was difficult to change many channels at a time.

    Variable autotransformers (often referred to as variacs) were then introduced. While they were still nearly as large as rheostat dimmers, they were highly efficient devices and their dimming effect was independent of the load applied so it was far easier to design the lighting that would be attached to each autotransformer channel. Remote control of the dimmers was still impractical, although some dimmers (typically, for "house light" use) were equipped with motor drives that could slowly and steadily reduce or increase the brightness of the attached lamps. Whilst variacs have fallen out of use for lighting they are still used in other applications such as under/overvoltage testing of equipment due to the fact they deliver a reasonably pure sine wave output and produce no radio frequency noise.

    Thyristor (and briefly, thyratron) dimmers were introduced to solve some of these problems. Because they use switching techniques instead of potential division there is almost no wasted power, dimming can be almost instantanious and is easily controlled by remote electronics. Triacs are used instead of SCR thyristors in lower cost designs, but do not have the surge handling capacity of back-to-back SCR's, and are only suitable for loads less than about 20 Amps. The switches generate some heat during switching, and can cause interference. Large inductors are used as part of the circuitry to suppress this interference. When the dimmer is at 50% power the switches are switching their highest voltage (>300 V in Europe) and the sudden surge of power causes the coils on the inductor to move, creating buzzing sound associated with some types of dimmer; this same effect can be heard in the filaments of the incandescent lamps as "singing". The suppression circuitry adds a lot of weight to the dimmer, and is often insufficient to prevent buzzing to be heard on audio systems that share the mains supply with the lighting loads. This development also made it possible to make dimmers small enough to be used in place of normal domestic light switches. European dimmers must comply with relevant EMC legislation requirements; this involves suppressing the emissions described above to limits described in EN55104.

    An alternative to the leading-edge dimming that is typically used with SCRs is trailing edge dimming, where the falling part of the waveform is cut rather than the rising part. This is most often used in devices that use a switched-mode power supplies that need the front of the waveform complete so that it may cut itself.

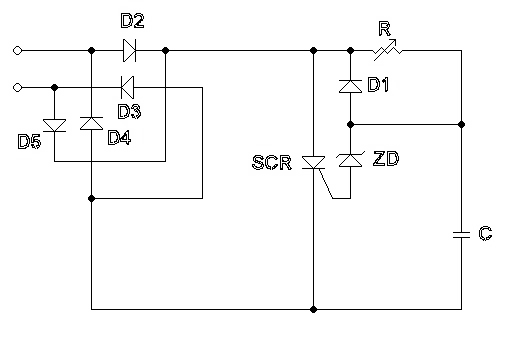
    A typical SCR based light dimmer which dims the light through phase angle control. This unit is wired in series with the load. Diodes (D2, D3, D4 and D5) form a bridge which generates DC with lots of ripple. R and C form a circuit with a time constant, as the voltage increases from zero (at the start of every halfwave) C will charge up, when C is able to make ZD conduct and inject current into the SCR the SCR will fire. When the SCR conducts then D1 will discharge C via the SCR. The SCR will shut off when the current falls to zero when the supply voltage drops at the end of the half cycle, ready for the circuit to start work on the next half cycle.
    A typical SCR based light dimmer which dims the light through phase angle control. This unit is wired in series with the load. Diodes (D2, D3, D4 and D5) form a bridge which generates DC with lots of ripple. R and C form a circuit with a time constant, as the voltage increases from zero (at the start of every halfwave) C will charge up, when C is able to make ZD conduct and inject current into the SCR the SCR will fire. When the SCR conducts then D1 will discharge C via the SCR. The SCR will shut off when the current falls to zero when the supply voltage drops at the end of the half cycle, ready for the circuit to start work on the next half cycle.

    Sine-wave dimming promises to solve the weight and interference issues that afflict thyristor dimmers. These are effectively high power switched-mode power supplies. They rely on a new generation of insulated gate bipolar transistors (IGBTs) which are still relatively expensive.

    Control

    See Lighting control console

    Non domestic dimmers are usually controlled remotely by means of various protocols. Analogue dimmers usually require a separate wire for each channel of dimming carrying a voltage between 0 and 10 V. Some analogue circuitry then derives a control signal from this and the mains supply for the switches. As more channels are added to the system more wires are needed between the lighting controller and the dimmers.

    In the late 70s serial analogue protocols were developed. These multiplexed a series of analogue levels onto a single wire, with embedded clocking signal similar to a composite video signal (in the case of Strand Lighting's European D54 standard, handling 384 dimmers) or separate clocking signal (in the case of the US standard AMX192).

    Digital protocols, such as DMX512 have proved to be the answer since the late 80s. In early implementations a digital signal was sent from the controller to a demultiplexer, which sat next to the dimmers. This converted the digital signal into a collection of 0 to +10 V or 0 to -10 V signals which could be connected to the individual analogue control circuits.

    Modern dimmer designs use microprocessors to convert the digital signal directly into a control signal for the switches. This has many advantages, giving closer control over the dimming, and giving the opportunity for diagnostic feedback to be sent digitally back to the lighting controller.

    Patching

    Dimmers are usually arranged together in racks, where they can be accessed easily, and then cables are run to the instruments being controlled. In architectural installations cables are run straight from the dimmers to the lights. However venues such as theatres demand more flexibility. The lighting rig may change dramatically for each show, and occasionally during shows. Many theatres have cables run permanently to sockets (called circuits) around the theatre, however not all the sockets are needed for each show, so there will be fewer dimmers than there are circuits. A patch bay usually sits next to the dimmers enabling the dimmers to be connected to specific circuits. The patch bay may also enable many circuits to be connected to one dimmer and even series connection for low-voltage lamps. This patch bay is known as the mains or hard patch. Analogue dimmers may also have a soft patch to match output channels from the lighting controller to control selected dimmers. Most new installations do not use patch bays, instead they use a dimmer-per-circuit and patch dimmers into channels using a computerized control consoles.

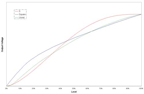
    Dimming curves

    The design of most analogue dimmers meant that the output of the dimmer was not directly proportional to the input. Instead, as the operator brought up a fader the dimmer would dim slowly at first, then quickly in the middle, then slowly at the top. The shape of the curve resembled that of the third quarter of a sine wave. Different dimmers produced different dimmer curves, and different applications typically demanded different responses.

    Television often uses a "Square" law, providing finer control in top part of the curve, essential to allow accurate trimming of the colour temperature of TV lighting. Theatrical dimmers tend to use a softer "S curve" or linear curve. Digital dimmers can be made to have whatever curve the manufacturer desires and may have a choice between a linear relationship and selection of different curves, so that they can be matched with older analogue dimmers. Sophisticated systems provide user-programmable or non-standard curves, and a common use of a non-standard curve it to turn a dimmer into a "non-dim", switching on at a user defined control level.

    Example dimmer curves:

    Image:Dimmer_curves.jpg

    Preheat

    Some types of incandescent (filament) lamps should not be switched to full power from cold, and doing so can shorten their life dramatically owing to the large inrush current that occurs. To soften the blow to the lamps slightly, dimmers may have a preheat function. This sets a minimum level, usually around 5-10%, which is not obvious to the audience, but stops the lamp from cooling down too much. This also speeds up the instrument's reaction to sudden bursts of power which operators of rock'n'roll style shows appreciate. The opposite of this function is sometimes called top-set. This limits the maximum power supplied to an instrument, which can also extend its life.

    The digital revolution

    Modern digital desks can emulate preheat and dimmer curves and allow a soft patch to be done in memory. This is often preferred as it means that the dimmer rack can be exchanged for another one without having to transfer complicated settings.

    Rise time

    One measure of the quality of the dimmer is the "rise time". The rise time in this context is the amount of time it takes within the cut part of the waveform to get from the zero-point crossover to the start of the uncut part of the waveform. A longer rise time reduces the noise of the dimmer and the lamp as well as extending the life of the lamp. Unsurprisingly, a longer rise time is more expensive to implement than a short one, this is because the size of choke has to be increased.

    Source: Wikipedia (All text is available under the terms of the GNU Free Documentation License and Creative Commons Attribution-ShareAlike License.)

    Useful Links
    Electronics Science Fair Projects and Experiments
    Electronics Circuits and Schematics
    Science Fair Projects Resources
    Electronics Projects Books

                  





    My Dog Kelly

    Follow Us On:
         

    Privacy Policy - Site Map - About Us - Letters to the Editor

    Comments and inquiries could be addressed to:
    webmaster@julianTrubin.com


    Last updated: June 2013
    Copyright © 2003-2013 Julian Rubin