Julian's Science Experiments
  • Famous Experiments and Inventions
  • The Scientific Method
  • Home Mathematics Encyclopedia Math Science Fair Projects Math Jokes Famous Mathematicians Warning!
       

    Pick's Theorem
    Experiments, Labs, Articles, Studies and Background Information
    For Lesson Plans, Class Activities and Science Fair Projects







    Pick's Theorem Resources

      Pick's Theorem Definition

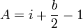
      If a polygon is constructed on an equal-distanced lattice and all polygon's vertices are lattice points:

      then Pick's theorem states:

      where:

      i is the number of interior lattice points located inside the polygon, and

      b is the number of points placed on the polygon's perimeter

      Background Information

    • Pick's theorem - Wikipedia [View Resources]
    • Pick's Theorem Proof [View Resources]
    • Georg Alexander Pick life and work - St Andrews [View Resources]
    • Archimedes Stomachion (Pick's theorem) [View Resources]

      K-12 Experiments, Labs, Lesson Plans and Science Fair Projects

    • Pick's theorem Java applets [View Resources]
    • Pick's Theorem Demonstration [View Resources]
    • Investigating Pick's Theorem Lesoon Plans [View Resources]
    • Proving Pick's Theorem for Lattice Polygons [View Resources]
    • Prove Pick's Theorem and also see if this theorem works on alternately consistent spaced grids (science fair projects).[View Resources]
    • Rediscovering the Patterns in Pick’s Theorem [View Resources]
    • Area of lattice polygons [View Resources]
    • Lab: Learn about the relationship between the numbers of boundary and interior points and the area of lattice polygons [View Resources]
    • Extending perimeter, circumference and area [View Resources]
    • Proof of Pick's theorem in three parts [View Resources]
    • A Formal Proof of Pick’s Theorem [View Resources]
    • Pick's Theorem Fun Fact [View Resources]

      Advanced Studies and Articles

    • Systematic approaches to experimentation: The case of Pick’s theorem [View Resources]
    • Pick’s Theorem via Minkowski’s Theorem [View Resources]
    • Lattice Point Geometry: Pick’s Theorem and Minkowski’s Theorem [View Resources]
    • Triangulations and Pick's Theorem [View Resources]
    • On Cantor's first uncountability proof, pick's theorem, and The irrationality of the golden ratio [View Resources]

      Theses and Dissertations

    • Classification of Ehrhart quasi-polynomials of half-integral polygons [View Resources]
    • Optimal Polygon Placement on a Grid [View Resources]
    • The Arithmetic of Rational Polytopes [View Resources]
    • Planning and evaluating a mathematics camp for Grade Six students [View Resources]



    My Dog Kelly

    Follow Us On:
         

    Privacy Policy - Site Map - About Us - Letters to the Editor

    Comments and inquiries could be addressed to:
    webmaster@julianTrubin.com


    Last updated: June 2013
    Copyright © 2003-2013 Julian Rubin